Don't have an account? Register today

Cerilliant: Ethyl-D5 hydrogen methylphos-

Part No. DLM-6098-1.2CER

Hover to Zoom

Hover to Zoom

Cerilliant: Ethyl-D5 hydrogen methylphos-

Part No. DLM-6098-1.2CER

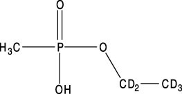
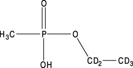
Ethyl-D5 hydrogen methylphos-
phonate, 100 µg/mL
Description

Details

Product Categories
Short Description Ethyl-D5 hydrogen methylphos-
phonate, 100 µg/mL
Item Class Chemical Warfare
Concentration 100 ug/mL
Solvent Methanol
Molecular Weight 129.04
Formula C3H4D5O3P
Brand Cerilliant
Further Information

Additional Information

You Recently Viewed

  1. LAMP HCL ZN 37 - See part HCL-ZN-37

More From This Brand

  1. Cerilliant: (±)-2,5-Dimethoxy-4-Bromoamphe

Other People Also Viewed

  1. KX Vaporsafe: FITTING, 1/8