Don't have an account? Register today

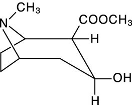
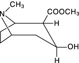
Cerilliant: Ecgonine Methyl Ester, 1.0 mg/mL

Part No. E-001CER

Hover to Zoom

Hover to Zoom

Cerilliant: Ecgonine Methyl Ester, 1.0 mg/mL

Part No. E-001CER

Ecgonine Methyl Ester, 1.0 mg/mL

• Storage Condititions: Freeze
Description

Details

Product Categories
Short Description Ecgonine Methyl Ester, 1.0 mg/mL

• Storage Condititions: Freeze
Volume 1 mL/ampoule
Item Class Cocaine Analogs
Concentration 1.0 mg/ml
Storage Condititions Freeze
Solvent Acetonitrile
Molecular Weight 199.25
Formula C10H17NO3
Cas Number 7143-09-1
Brand Cerilliant
Safety Data Sheet http://www.cerilliant.com/ShopOnline/MSDS.aspx?itemno={9BDBDAE8-6927-4674-82CF-7454D8B139B7}
Further Information

Additional Information

More From This Brand

  1. Cerilliant: (-)-delta9-THC-D3, 1.0 mg/mL

Other People Also Viewed

  1. Use:781601

    Use:781601

    Part No. 07904-82

    Login to View Prices