Don't have an account? Register today

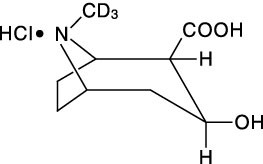
Cerilliant: Ecgonine-D3 HCl, 100 ug/mL

Part No. E-003CER

Hover to Zoom

Hover to Zoom

Cerilliant: Ecgonine-D3 HCl, 100 ug/mL

Part No. E-003CER

Ecgonine-D3 HCl, 100 ug/mL

• Storage Condititions: Freeze
Description

Details

Product Categories
Short Description Ecgonine-D3 HCl, 100 ug/mL

• Storage Condititions: Freeze
Volume 1 mL/ampoule
Item Class Cocaine Analogs
Concentration 100 ug/mL (as free base)
Storage Condititions Freeze
Solvent Methanol
Molecular Weight 224.66
Formula C9H12D3NO3 (.) HCl
Cas Number 115144-41-7
Brand Cerilliant
Safety Data Sheet http://www.cerilliant.com/ShopOnline/MSDS.aspx?itemno={C1086630-F9EC-453E-B6F5-E2B15036C697}
Further Information

Additional Information

More From This Brand

  1. Cerilliant: N-Desmethylclobazam, 100 µg/mL

Other People Also Viewed

  1. Columns: NUCLEOSIL 5µm 100 SB 50x4.6mm