Don't have an account? Register today

Cerilliant Chemical Warfare Reference Standards

Part No. ULM-6091-1.2CER

Hover to Zoom

Hover to Zoom

Cerilliant Chemical Warfare Reference Standards

Part No. ULM-6091-1.2CER

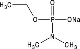
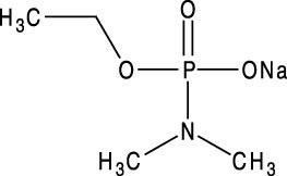
Ethyl hydrogen
dimethylamidophosphate, sodium
salt (GA acid)
Description

Details

Product Categories
Short Description Ethyl hydrogen
dimethylamidophosphate, sodium
salt (GA acid)
Item Class Chemical Warfare
Concentration 1000 ug/mL (as free acid)
Solvent Methanol
Molecular Weight 175.1
Formula C4H11NNaO3P
Cas Number 2632-86-2
Brand Cerilliant
Further Information

Additional Information

You Recently Viewed

  1. KX Vaporsafe: PANEL MOUNT MANIFOLD, 7-port small

More From This Brand

  1. Cerilliant: 2-Hydroxyethylflurazepam, 100 ug/mL

Other People Also Viewed

  1. Labnet Gyrotwister 3-D Shaker with 30 x 30 cm non-slip platform and dimpled tube mat, 230V