Don't have an account? Register today

Cerilliant Chemical Warfare Reference Standards

Part No. CLM-6090-1.2CER

Hover to Zoom

Hover to Zoom

Cerilliant Chemical Warfare Reference Standards

Part No. CLM-6090-1.2CER

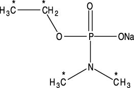
Ethyl hydrogen
dimethylamidophosphate, sodium
salt (13C4)
Description

Details

Product Categories
Short Description Ethyl hydrogen
dimethylamidophosphate, sodium
salt (13C4)
Item Class Chemical Warfare
Concentration 100 ug/mL (as free acid)
Solvent Methanol
Molecular Weight 179.06
Formula 13C4H11NNaO3P
Brand Cerilliant
Further Information

Additional Information

You Recently Viewed

  1. Brand: Grad. cyl. tall form

More From This Brand

  1. Cerilliant: N-Desmethylterbinafine

    Cerilliant: N-Desmethylterbinafine

    Part No. B120018-10CER

    Login to View Prices

Other People Also Viewed

  1. Daicel CHIRALCEL OG Analytical Column (Particle size: 10µm, ID: 4.6mm, Length: 250mm)