Don't have an account? Register today

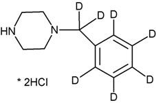
Cerilliant: Benzyl piperazine-D7 diHCl, 100

Part No. B-907CER

Hover to Zoom

Hover to Zoom

Cerilliant: Benzyl piperazine-D7 diHCl, 100

Part No. B-907CER

Benzyl piperazine-D7 diHCl, 100
µg/mL as free base

• Storage Condititions: Freeze
Description

Details

Product Categories
Short Description Benzyl piperazine-D7 diHCl, 100
µg/mL as free base

• Storage Condititions: Freeze
Volume 1 mL/ampule
Item Class Amphetamines
Concentration 100 ug/mL (as free base)
Storage Condititions Freeze
Solvent Methanol
Molecular Weight 256.22
Formula C11H9D7N2 (.) diHCl
Brand Cerilliant
Safety Data Sheet http://www.cerilliant.com/ShopOnline/MSDS.aspx?itemno={A3F4B2FC-927E-4981-B717-7354441BB3BE}
Further Information

Additional Information

You Recently Viewed

More From This Brand

  1. Cerilliant: 2-Hydroxyethylflurazepam-D4, 1.0

Other People Also Viewed

  1. Domnick Hunter Gas Generators and Spares: 608201585 Comp.Air Dryer Spare