Don't have an account? Register today

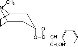
Cerilliant: Atropine, 1.0 mg/mL

Part No. A-046CER

Hover to Zoom

Hover to Zoom

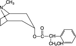
Cerilliant: Atropine, 1.0 mg/mL

Part No. A-046CER

Atropine, 1.0 mg/mL

• Storage Condititions: Freeze
Description

Details

Product Categories
Short Description Atropine, 1.0 mg/mL

• Storage Condititions: Freeze
Volume 1 mL/ampoule
Item Class Cardiac Drugs
Concentration 1.0 mg/ml
Storage Condititions Freeze
Solvent Acetonitrile
Molecular Weight 289.37
Formula C17H23NO3
Brand Cerilliant
Safety Data Sheet http://www.cerilliant.com/ShopOnline/MSDS.aspx?itemno={B6A92AF0-4C15-4374-99D2-6AFF39D56B07}
Further Information

Additional Information

More From This Brand

  1. Cerilliant: Surineâ„¢ Neg Urine Control, 1 L

Other People Also Viewed

  1. Idex 7055-PH Frit Cap Pk212X271X20